有机硅
润滑油添加剂和化学品
EN
CN
EN
CN
有机硅
新闻
新型硅烷BRB Silanil 260
30 October 2023
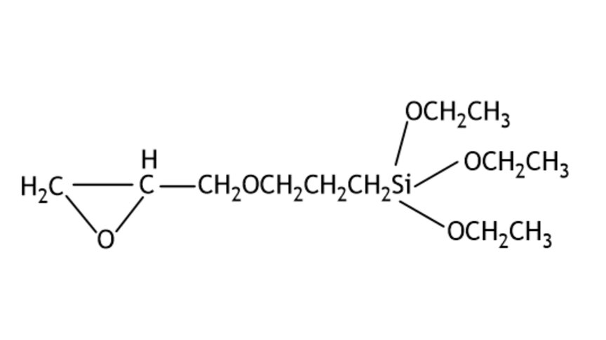
BRB Silanil® 260 是一种环氧硅烷,含有活性缩水甘油氧基和三乙氧基硅烷基无机基团.
BRB Silanil® 260具有有机和无机反应性,使其能够与有机聚合物和无机表面反应或偶联。在特定应用中使用 BRB Silanil® 260 时,应考虑这种双重反应性 。
BRB Silanil® 260 特别推荐用于:
• 用于加固区域的玻璃纤维处理
• 矿物表面处理,用于矿物填充塑料
• 附着力促进剂,用于增强聚合物涂层或粘合剂与玻璃的粘合
Related News
View all news
View all news
Copyright © 2026 BRB International B.V. All rights reserved.
PETRONAS Chemicals Group Berhad
Privacy and Cookie statement
Ooops!
Generic Popup2